Matemáticas IV
Cálculo diferencial
Contamos con 54 metros de malla ciclónica y deseamos cercar el terreno destinado a la zona de juegos de forma rectangular. ¿Cuáles deberán ser las dimensiones del terreno para que el área sea máxima?
-Datos:
· Material: 54 m
-Desarrollo:
1. Se dibuja el espacio designado y se escriben las incógnitas:

2. Se establece la fórmula para calcular el perímetro:
2x+2y= 54m --> 1
3. Se fija la fórmula para establecer el área:
A= xy -->2
4. De la ecuación 1, despejar Y:

5. Sustituir Y en la ecuación 2:
A= x (27-x) A= 27x-x2
6. Derivar:
A’= 27-2x
7. Igualar la ecuación a 0:
27-2x=0
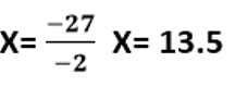
8. Despejar X:

9. Sustituir la ecuación 1:
2 (13.5) + 2y= 54
17+ 2y= 54

10. Comprobar en la ecuación 1 y 2:
2(13.5)+2(13.5)= 54
27+27= 54
Conclusión del problema:
Llegamos a la conclusión de que el área destinada a los juegos deber ser cuadrada para aprovechar toda la malla y no tener material sobrante.
Conclusión de la asignatura de Matemáticas:
Al terminar de elaborar nuestro proyecto llegamos a la conclusión de que los temas vistos a lo largo del semestre en la materia de Matemáticas IV, si se pueden utilizar en problemas de la vida cotidiana, teniendo como apoyo las diferentes competencias disciplinares y genéricas, para facilitar el aprendizaje y realización de estos problemas.
Conclusión del proyecto:
Al término de este parcial pudimos utilizar la mayoría de los tópicos vistos en el semestre de una forma en la que se pudo vincular con el proyecto experimenta 2014.
La realización de este tipo de proyectos vinculados con ciertas materias es de gran ayuda para nuestro desarrollo integral y académicos, además nos serán de gran ayuda para el futuro.